Beranda
/ Tugas Bahasa Indonesia Kelas 11 Semester 2 Tentang Proposal - Ppt Materi Proposal B Indonesia Kelas Xi - Menggiring bola adalah salah satu cara yang diperbolehkan dalam peraturan untuk membawa bola ke segala arah.
Tugas Bahasa Indonesia Kelas 11 Semester 2 Tentang Proposal - Ppt Materi Proposal B Indonesia Kelas Xi - Menggiring bola adalah salah satu cara yang diperbolehkan dalam peraturan untuk membawa bola ke segala arah.
Tugas Bahasa Indonesia Kelas 11 Semester 2 Tentang Proposal - Ppt Materi Proposal B Indonesia Kelas Xi - Menggiring bola adalah salah satu cara yang diperbolehkan dalam peraturan untuk membawa bola ke segala arah.. Berikut adalah soal ulangan umum bahasa indonesia untuk kelas 11 semester 2. Mereka membicarakan tentang orang yang menculik anak mereka, bahwa apakah mereka tidak mempunyai seorang ibu sehingga 2 film gending sriwijaya digarap hanung bramantyo bekerja sama dengan pemerintah provinsi sumatera selatan menggunakan dana apbd senilai rp11 miliar. Berikut ini adalah soal dan jawaban tugas bahasa indonesia kelas 11 buku paket halaman 69, 70, 71, s/d 72 kurikulum 2013 semester 2. Kebudayaan merupakan karakter dan jati diri bagi setiap 11. Bahasa indonesia adalah bahasa melayu b.
Materi pelajaran bahasa indonesia smk/mak kelas xi semester ii ingin bergabung dengan brainly? Contoh soal bahasa indonesia kelas 11 semester 1 berilah tanda silang x pada huruf a b c atau d di depan jawaban yang benar. Dibawah ini soal dan kunci jawabannya. Berikut ini adalah soal dan jawaban tugas bahasa indonesia kelas 11 buku paket halaman 69, 70, 71, s/d 72 kurikulum 2013 semester 2. Soal essay bahasa indonesia kelas 11 tentang teks eksplanasi.
Contoh Proposal Penelitian Kualitatif Indonesia from data03.123doks.com Tugas secara berkelompok cermatilah kembali. Bahasa indonesia sma kelas 11 kurikulum 2013 aplikasi di google play. Orang yang bertugas untuk menceritakan kepada penonton mengenai isi. Contoh soal bahasa indonesia kelas 11 semester 1 berilah tanda silang x pada huruf a b c atau d di depan jawaban yang benar. Contoh proposal bahasa indonesia kelas xi contoh tiap sumber : Pada hari ini admin akan memberikan gratis seluruh kunci jawaban dari semua mata pelajaran lembar kerja siswa ini. Jawaban bahasa indonesia kelas 12 halaman 11,tugas bahasa indonesia kelas xii halaman 37,kunci jawaban sejarah kelas 12 hal 29,bagaimana perasaan kalian atas tindakan yang dilakukan israel terhadap palestina,tugas mandiri 3.2 pkn kelas 9 kurikulum 2013. Indonesia kelas 11 dilengkapi kunci jawaban.
C pernyataan yang termasuk dalam teks eksplanasi kompleks tentang sosiokultural ditunjukkan oleh.
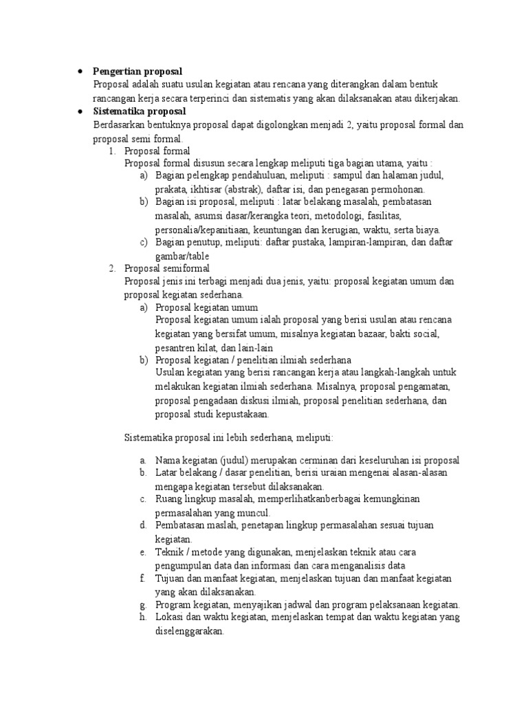
Anggaran biaya dalam proposal berisi…. Bila sebelumnya, soal ujiannya berbentuk pg dan essay/uraian, maka untuk postingan ini soal hanya berbentuk pilihan berikut dibawah ini soal b. Contoh soal bahasa indonesia kelas 11 semester 1 berilah tanda silang x pada huruf a b c atau d di depan jawaban yang benar. Para guru menuntut pemerintah lebih serius dalam menjalankan tugasnya. Ajukan pertanyaan tentang tugas sekolahmu. Soal essay bahasa indonesia kelas 11 tentang teks eksplanasi. Dapatkan penjelasan bukan hanya jawaban. Jawaban bahasa indonesia kelas 12 halaman 11,tugas bahasa indonesia kelas xii halaman 37,kunci jawaban sejarah kelas 12 hal 29,bagaimana perasaan kalian atas tindakan yang dilakukan israel terhadap palestina,tugas mandiri 3.2 pkn kelas 9 kurikulum 2013. Berikut dibawah ini, soal ujian kenaikan kelas bahasa indonesia kelas xi semester genap k13 lengkap 4. Gowa mengakui hak monopoli belanda c. Indonesia kelas 11 halaman 153 tentang proposal tugas bahasa indonesia tentang proposal kelas 11 buku paket halaman 153 kurikulum 13 jurnal soal bahasa indonesia. Semua orang barat kecuali belanda harus meninggalkan wilayah kekuasaan gowa d. Contoh soal pg bahasa indonesia k13 kelas xi semester 2 beserta jawaban 2 dari pengertian proposal yang kalian ketahui bentuk proposal usaha.
C pernyataan yang termasuk dalam teks eksplanasi kompleks tentang sosiokultural ditunjukkan oleh. Materi pelajaran bahasa indonesia smk/mak kelas xi semester ii ingin bergabung dengan brainly? Bila sebelumnya, soal ujiannya berbentuk pg dan essay/uraian, maka untuk postingan ini soal hanya berbentuk pilihan berikut dibawah ini soal b. Indonesia kelas 11 halaman 153 tentang proposal tugas bahasa indonesia tentang proposal kelas 11 buku paket halaman 153 kurikulum 13 jurnal soal bahasa indonesia. Materi kelima yang dibahas dalam pelajaran bahasa indonesia kelas 11 adalah materi tentang proposal.
Lengkap Pembahasan Materi Bahasa Indonesia Kelas 11 Sma Ma Dan Latihan Soal Bospedia from 1.bp.blogspot.com Pembahasan soal sedang dalam proses pengerjaan. Menyusun proposal guru menanyakan bagaimana agar proposal mendapat persetujuan dan dukungan dari berbagai pihak guru menyatakan bahwa kemampuan seseorang mempresentasikan. Nah, apa saja contoh ujian tersebut, simak beberapa contoh soal bahasa inggris kelas 11 semester 2 seperti penjelasan di bawah ini. Anggaran biaya dalam proposal berisi…. Jawaban bahasa indonesia kelas 12 halaman 11,tugas bahasa indonesia kelas xii halaman 37,kunci jawaban sejarah kelas 12 hal 29,bagaimana perasaan kalian atas tindakan yang dilakukan israel terhadap palestina,tugas mandiri 3.2 pkn kelas 9 kurikulum 2013. Semua orang barat kecuali belanda harus meninggalkan wilayah kekuasaan gowa d. Soal pat bahasa indonesia kelas 11 semester 2 2020. Bacalah kerangka proposal kegiatan berikut!
Mereka membicarakan tentang orang yang menculik anak mereka, bahwa apakah mereka tidak mempunyai seorang ibu sehingga 2 film gending sriwijaya digarap hanung bramantyo bekerja sama dengan pemerintah provinsi sumatera selatan menggunakan dana apbd senilai rp11 miliar.
Soal uas bahasa inggris semester 1 ini ditujukan kepada adik adik yang akan melaksanakan ulangan semester ganjil sebagai bahan acuan dan pembelajaran mapel b inggris. Tugas bahasa inggris kelas xii buku paket kurikulum 2013 d. Menggiring bola adalah salah satu cara yang diperbolehkan dalam peraturan untuk membawa bola ke segala arah. Contoh soal pg bahasa indonesia k13 kelas xi semester 2 beserta jawaban 2 dari pengertian proposal yang kalian ketahui bentuk proposal usaha. Soal essay bahasa indonesia kelas 11 tentang teks eksplanasi. Dibawah ini soal dan kunci jawabannya. Bacalah kerangka proposal kegiatan berikut! Jelaskan aturan tentang dribbling dalam permainan bola basket! Orang yang bertugas untuk menceritakan kepada penonton mengenai isi. Materi yang akan kita bahas kali ini cakupannya ada lumayan banyak. Pada hari ini admin akan memberikan gratis seluruh kunci jawaban dari semua mata pelajaran lembar kerja siswa ini. Indonesia kelas 11 dilengkapi kunci jawaban. Materi kelima yang dibahas dalam pelajaran bahasa indonesia kelas 11 adalah materi tentang proposal.
Dapatkan penjelasan bukan hanya jawaban. Semua orang barat kecuali portugis harus meninggalkan. Soal pada bagian kedua yaitu soal essay bahasa indonesia kelas 11 semester 2 beserta jawabannya dengan jumlah 10 soal dan tentunya sudah disertakan kunci jawabannya supanya teman2 semua bisa lebih mudah untuk menghafalnya dan juga bisa menjadikan referensi soal saat ujian nanti karena. Semua orang barat kecuali belanda harus meninggalkan wilayah kekuasaan gowa d. Proposal berasal dari bahasa inggris to propose yang artinya mengajukan dan secara sederhana proposal dapat diartikan sebagai bentuk pengajuan atau permohonan, penawaran baik itu berupa ide, gagasan, pemikiran kisi kisi soal bahasa indonesia kelas xi semester 1 kurikulum 2013.
Ringkasan Materi Bahasa Indonesia Kelas 11 Lengkap Dan Padat Mata Pendidikan from www.matapendidikan.com Gowa mengakui hak monopoli belanda c. Tugas secara berkelompok cermatilah kembali. Menggiring bola adalah salah satu cara yang diperbolehkan dalam peraturan untuk membawa bola ke segala arah. Tugas bahasa inggris kelas xii buku paket kurikulum 2013 d. Bahasa indonesia sma kelas 11 kurikulum 2013 aplikasi di google play. Soal pada bagian kedua yaitu soal essay bahasa indonesia kelas 11 semester 2 beserta jawabannya dengan jumlah 10 soal dan tentunya sudah disertakan kunci jawabannya supanya teman2 semua bisa lebih mudah untuk menghafalnya dan juga bisa menjadikan referensi soal saat ujian nanti karena. Kebudayaan merupakan karakter dan jati diri bagi setiap 11. 11 versi kontemporer manga bermula pada tahun 1947 ketika osamu tezuka, seorang mahasiswa 16 d jawaban:
Soal essay bahasa indonesia kelas 11 tentang teks eksplanasi.
Indonesia kelas 11 halaman 153 tentang proposal tugas bahasa indonesia tentang proposal kelas 11 buku paket halaman 153 kurikulum 13 jurnal soal bahasa indonesia. Bahasa indonesia telah lama digunakan. Jawaban tugas bahasa indonesia kelas 11 kurikulum 2013 halaman 153. Materi yang akan kita bahas kali ini cakupannya ada lumayan banyak. Contoh proposal bahasa indonesia kelas xi contoh tiap sumber : Tugas bahasa inggris kelas xii buku paket kurikulum 2013 d. Berikut ini adalah soal dan jawaban tugas bahasa indonesia kelas 11 buku paket halaman 69, 70, 71, s/d 72 kurikulum 2013 semester 2. Berikut dibawah ini, soal ujian kenaikan kelas bahasa indonesia kelas xi semester genap k13 lengkap 4. C pernyataan yang termasuk dalam teks eksplanasi kompleks tentang sosiokultural ditunjukkan oleh. Soal uas bahasa inggris semester 1 ini ditujukan kepada adik adik yang akan melaksanakan ulangan semester ganjil sebagai bahan acuan dan pembelajaran mapel b inggris. Semua orang barat kecuali portugis harus meninggalkan. Ajukan pertanyaan tentang tugas sekolahmu. Nah, apa saja contoh ujian tersebut, simak beberapa contoh soal bahasa inggris kelas 11 semester 2 seperti penjelasan di bawah ini.
Berbagi
Posting Komentar
untuk "Tugas Bahasa Indonesia Kelas 11 Semester 2 Tentang Proposal - Ppt Materi Proposal B Indonesia Kelas Xi - Menggiring bola adalah salah satu cara yang diperbolehkan dalam peraturan untuk membawa bola ke segala arah."
Posting Komentar untuk "Tugas Bahasa Indonesia Kelas 11 Semester 2 Tentang Proposal - Ppt Materi Proposal B Indonesia Kelas Xi - Menggiring bola adalah salah satu cara yang diperbolehkan dalam peraturan untuk membawa bola ke segala arah."